欧宝体育官网 oubao 分类>>
欧宝体育-官方体育娱乐平台足球·篮球·电竞投注首选平台中考数学复习几何题经典题型专练+答案+解析
欧宝体育,欧宝体育app,欧宝娱乐,欧宝体育官网,足球投注平台,电竞下注,注册送彩金,欧宝足球下注,欧宝篮球盘口,欧宝电竞投注,体育投注平台作 P 关于 OA , OB 的对称点 C , D .连接 OC , OD .则当 M , N 是 CD 与 OA , OB 的交点时,△ PMN 的周长最短,最短的值是 CD 的长.根据对称的性质可以证得:△ COD 是等腰直角三角形,据此即可求解.
【题后思考】本题考查了对称的性质,正确作出图形,理解△ PMN 周长最小的条件是解题的关键.
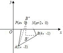
【分析】因为 AB , PN 的长度都是固定的,所以求出 PA + NB 的长度就行了.问题就是 PA + NB 什么时候最短.
把 B 点向左平移2个单位到 B ′点;作 B ′关于 x 轴的对称点 B ″,连接 AB ″,交 x 轴于 P ,从而确定 N 点位置,此时 PA + NB 最短.
设直线 AB ″的解析式为 y = kx + b ,待定系数法求直线解析式.即可求得 a 的值.
【解答】解:将 N 点向左平移2单位与 P 重合,点 B 向左平移2单位到 B ′(2,﹣1),
作 B ′关于 x 轴的对称点 B ″,根据作法知点 B ″(2,1),
3.如图, A 、 B 两点在直线的两侧,点 A 到直线,点 B 到直线, P 为直线上的动点, PA ﹣ PB 的最大值为.
【分析】作点 B 于直线 l 的对称点 B ′,则 PB = PB ′因而 PA ﹣ PB = PA ﹣ PB ′,则当 A , B ′、 P 在一条直线上时, PA ﹣ PB 的值最大.根据平行线分线段定理即可求得 PN 和 PM 的值然后根据勾股定理求得 PA 、 PB ′的值,进而求得 PA ﹣ PB 的最大值.
【解答】解:作点 B 于直线 l 的对称点 B ′,连 AB ′并延长交直线 l 于 P .
【题后思考】本题考查了作图﹣轴对称变换,勾股定理等,熟知“两点之间线段最短”是解答此题的关键.
4.动手操作:在矩形纸片 ABCD 中, AB =3, AD =5.如图所示,折叠纸片,使点 A 落在 BC 边上的 A ′处,折痕为 PQ ,当点 A ′在 BC 边上移动时,折痕的端点 P 、 Q 也随之移动.若限定点 P 、 Q 分别在 AB 、 AD 边上移动,则点 A ′在 BC 边上可移动的最大距离为.
【分析】本题关键在于找到两个极端,即 BA ′取最大或最小值时,点 P 或 Q 的位置.经实验不难发现,分别求出点 P 与 B 重合时, BA ′取最大值3和当点 Q 与 D 重合时, BA ′的最小值1.所以可求点 A ′在 BC 边上移动的最大距离为2.
当点 Q 与 D 重合时(如图),由勾股定理得 A ′ C =4,此时 BA ′取最小值为1.
【题后思考】本题考查了学生的动手能力及图形的折叠、勾股定理的应用等知识,难度稍大,学生主要缺乏动手操作习惯,单凭想象造成错误.
【分析】如图,经分析、探究,只有当直径 EF 最大,且点 A 落在 BD 上时, PD 最小;根据勾股定理求出 BD 的长度,问题即可解决.
【题后思考】该命题以直角梯形为载体,以翻折变换为方法,以考查全等三角形的判定及其性质的应用为核心构造而成;解题的关键是抓住图形在运动过程中的某一瞬间,动中求静,以静制动.
2025-10-11 20:32:56
浏览次数: 次
返回列表
友情链接:





